Astronomlar nəhəng ulduzdan güclü super məşəl müşahidə edirlər

Neytron Star Interior Composition Explorer (NICER) və müxtəlif yer əsaslı teleskoplardan istifadə edərək, beynəlxalq astronomlar qrupu HD 251108 kimi tanınan nəhəng ulduzda 2022-ci ildə baş vermiş güclü rentgen şüalarının alovlanmasının müşahidələrini həyata keçiriblər. Müşahidə kampaniyasının nəticələri Oktyabrın 4-də çapdan əvvəl arXiv serverində nəşr olunmuş bu ulduzun alovlanma fəaliyyəti haqqında daha çox məlumat verir.
Superflares ulduz səthindən çıxan kütləvi enerji partlayışlarıdır. Bu tip yeni alovların aşkar edilməsi və onların ətraflı öyrənilməsi bu hadisələrin mənşəyini və ulduzların maqnit sahələri və səthləri arasında qarşılıqlı əlaqəni daha yaxşı başa düşmək üçün vacibdir.
Təxminən 1646 işıq ili uzaqlıqda yerləşən HD 251108 təkamül yolu ilə inkişaf etmiş və maqnit cəhətdən aktiv K tipli nəhəng ulduzdur – Günəşdən təxminən yeddi dəfə böyükdür. Ulduz nisbətən sərindir, effektiv temperaturu 4,460 K və kütləsi günəşin kütləsi ilə müqayisə edilə bilər.
2022-ci ilin sonlarında HD 251108 güclü rentgen şüaları ilə parladı və Massaçusets ştatının Kembric şəhərində MİT Kavli Astrofizika və Kosmos Tədqiqatları İnstitutundan Hans Moritz Günterin rəhbərlik etdiyi bir qrup astronom bu hadisəni müşahidə etməyə başladılar. tək nəhəng ulduzlar.
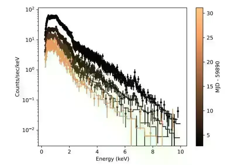
“Biz NICER ilə və yerdən 28 gün ərzində super məşəlin çürümə mərhələsini izlədik. Biz məşəlin çürüməsini bir neçə tac temperaturu komponentlərində görünməmiş təfərrüatlarla izləyirik”, – tədqiqatçılar məqalədə yazıblar.
Müşahidələr müəyyən etdi ki, HD 251108-də 2022-ci il superflare 0,5-4,0 keV diapazonunda təqribən 10 desilyon erq/s pik axınına və erkən çürümə mərhələsində 2,2 gün eksponensial parçalanma müddətinə malikdir. Bu, onu indiyə qədər müşahidə edilən ən güclü alovlardan birinə çevirir.
https://googleads.g.doubleclick.net/pagead/ads?gdpr=0&us_privacy=1—&gpp_sid=-1&client=ca-pub-0536483524803400&output=html&h=188&slotname=8188791252&adk=1687169288&adf=1857921027&pi=t.ma~as.8188791252&w=750&abgtt=6&fwrn=4&lmt=1728974453&rafmt=11&format=750×188&url=https%3A%2F%2Fphys.org%2Fnews%2F2024-10-astronomers-strong-superflare-giant-star.html&wgl=1&uach=WyJXaW5kb3dzIiwiMTUuMC4wIiwieDg2IiwiIiwiMTI5LjAuNjY2OC45MCIsbnVsbCwwLG51bGwsIjY0IixbWyJHb29nbGUgQ2hyb21lIiwiMTI5LjAuNjY2OC45MCJdLFsiTm90PUE_QnJhbmQiLCI4LjAuMC4wIl0sWyJDaHJvbWl1bSIsIjEyOS4wLjY2NjguOTAiXV0sMF0.&dt=1728971737565&bpp=1&bdt=92&idt=70&shv=r20241010&mjsv=m202410080101&ptt=9&saldr=aa&abxe=1&cookie=ID%3Ddd084782a3980897%3AT%3D1725971170%3ART%3D1728974162%3AS%3DALNI_Ma1uv12HX_ctV-7loP2Dla_dLGslw&eo_id_str=ID%3D6cdee71e935b6dcb%3AT%3D1725971170%3ART%3D1728974162%3AS%3DAA-AfjZEH1DAbfRV50frmhACTroQ&prev_fmts=0x0&nras=1&correlator=6247275059694&frm=20&pv=1&rplot=4&u_tz=240&u_his=1&u_h=1080&u_w=1920&u_ah=1032&u_aw=1920&u_cd=24&u_sd=1&dmc=8&adx=447&ady=1981&biw=1903&bih=911&scr_x=0&scr_y=0&eid=44759876%2C44759927%2C44759837%2C31087890%2C31087942%2C95331687%2C95343454%2C95344777&oid=2&pvsid=1274726022488284&tmod=365233425&uas=0&nvt=1&ref=https%3A%2F%2Fphys.org%2Fsort%2Fdate%2Fall%2Fpage9.html&fc=1920&brdim=0%2C0%2C0%2C0%2C1920%2C0%2C1920%2C1032%2C1920%2C911&vis=1&rsz=%7C%7CpeEbr%7C&abl=CS&pfx=0&fu=128&bc=31&bz=1&td=1&tdf=2&psd=W251bGwsbnVsbCxudWxsLDNd&nt=1&ifi=2&uci=a!2&btvi=1&fsb=1&dtd=M
Toplanmış məlumatlara əsasən, məşəl dövrəsinin uzunluğu HD 251108-in radiusundan iki-dörd dəfə böyük olduğu təxmin edilmişdir. Bundan əlavə, məşəl pik nöqtəsindən təxminən 10 gün sonra məşəlin məhdud təkrar fazadan keçdiyi müəyyən edilmişdir. -isitmə və işıq əyrisi ilkin tənəzzüldən kənara çıxmağa başladı.
Tədqiqat nəticəsində məlum olub ki, HD 251108-in kimyəvi bolluğu məşəl boyu sabitdir və tərs birinci ionlaşma potensialı (IFIP) effekti olan tipik aktiv ulduzlara uyğundur. Astronomlar qeyd ediblər ki, ilkin çürümə zamanı rentgen şüalarının əyrisi hidrogen-alfa axınındakı çürümə ilə uyğunlaşır, plazma isə müəyyən qədər yenidən qızma göstərir.
Sənədə görə, HD 251108 21,3 gün müddətində fırlanma modulyasiyasını göstərir. Bu cür davranış bir neçə ildir sabit olan, lakin baxışdan kənarda fırlanan böyük ulduz ləkələri ilə izah edilə bilər.
Müşahidələr həmçinin müəyyən etdi ki, ulduz bir və ya daha çox onilliklər üçün 0,5 mq sifarişli zaman şkalasında təxminən 0,5 mq-lik fotometrik dəyişkənlik nümayiş etdirir. Bu, bu böyük və çox sabit ulduz ləkələri ilə uyğun gəlir.
Daha çox məlumat: Hans Moritz Günther və digərləri, K nəhəngi HD 251108, arXiv (2024) üzərində uzun müddətli superflare . DOI: 10.48550/arxiv.2410.03616
Jurnal məlumatı: arXiv














