Yeni tədqiqat kvark-qluon plazmasının termodinamik xüsusiyyətlərini müəyyən edir

Böyük Partlayışdan çox keçmədən kainat qısa bir fazadan həzz aldı, burada kvarkların və qluonların sərbəst hərəkət etdiyi, protonlar, neytronlar və mezonlar kimi adronlara hələ birləşməmişlər. Kvark-qluon plazması adlanan bu vəziyyət , temperatur təxminən 20 trilyon Kelvinə düşənə qədər qısa bir müddət mövcud oldu və bundan sonra bu “hadronlaşma” baş verdi.
İndi İtaliyadan olan bir araşdırma qrupu, plazmanın vəziyyət tənliyinin yeni hesablamalarını təqdim etdi ki, bu da adronların əmələ gəlməsindən əvvəl güclü qüvvənin nə qədər vacib olduğunu göstərir. Onların işləri Physical Review Letters jurnalında dərc olunub .
Kvant xromodinamikası vəziyyətinin tənliyi (QCD) güclü qüvvəyə məruz qalan hissəciklərin kollektiv davranışını təmsil edir – tarazlıqda güclü qarşılıqlı təsir göstərən hissəciklərdən ibarət qaz, sayları və xalis enerjisi dəyişməzdir. Bu, qazdakı atomların vəziyyətinin tanınmış, sadə tənliyinə bənzəyir, PV=nRT, lakin bu qədər sadə şəkildə ümumiləşdirmək mümkün deyil.
Lakin klassik qaza bənzər, tarazlıqda olan QCD hissəciklərinin toplusu temperatur , təzyiq, enerji sıxlığı və entropiya sıxlığına malikdir və faza keçidlərindən keçə bilər.
Buradakı məqsədlər üçün ilk mühüm mərhələ keçidləri bunlardır:
- Elektrozəif faza keçidi Böyük Partlayışdan təxminən 10-12 saniyə sonra 10-15 Kelvin (K) ətrafında bir temperaturda baş verir , burada elektromaqnit və zəif qarşılıqlı təsirlər parçalanır və hissəciklər Higgs mexanizmi vasitəsilə kütlə qazanır . Boltzman sabitinə vurulduqda, bu temperatur təxminən 100 giqa elektronvolt (GeV) enerji şkalasıdır.
- QCD faza keçidi hadronlaşma nöqtəsidir, burada kvark qluon plazmasındakı kvarklar və qluonlar protonlara, neytronlara (hər biri üç kvarkdan ibarətdir) və mezonlara (adətən iki kvark) ayrılmağa başlayır, Böyük Partlayışdan təxminən bir mikrosaniyə (10 -6 ) sonra kainatın temperaturu 1 milyon miqyasda 2 və ya 10, elektronvolt (MeV). Bu faza keçidləri arasında təxminən bir mikrosaniyə davam edən, ilk dəfə 2000-ci ildə CERN-də SPS Ağır İon Proqramı tərəfindən yaradılmış və qəti şəkildə aşkar edilmiş kvark-qluon plazma fazası var .
https://googleads.g.doubleclick.net/pagead/ads?gdpr=0&us_privacy=1—&gpp_sid=-1&client=ca-pub-0536483524803400&output=html&h=280&slotname=8188791252&adk=1645945215&adf=308666314&pi=t.ma~as.8188791252&w=750&abgtt=6&fwrn=4&fwrnh=0&lmt=1748863365&rafmt=1&armr=3&format=750×280&url=https%3A%2F%2Fphys.org%2Fnews%2F2025-05-thermodynamic-properties-quark-gluon-plasma.html&fwr=0&rpe=1&resp_fmts=3&wgl=1&uach=WyJXaW5kb3dzIiwiMTkuMC4wIiwieDg2IiwiIiwiMTM3LjAuNzE1MS41NSIsbnVsbCwwLG51bGwsIjY0IixbWyJHb29nbGUgQ2hyb21lIiwiMTM3LjAuNzE1MS41NSJdLFsiQ2hyb21pdW0iLCIxMzcuMC43MTUxLjU1Il0sWyJOb3QvQSlCcmFuZCIsIjI0LjAuMC4wIl1dLDBd&dt=1748863365599&bpp=1&bdt=138&idt=14&shv=r20250528&mjsv=m202505270101&ptt=9&saldr=aa&abxe=1&cookie=ID%3Df22668bce9793ae4%3AT%3D1735196613%3ART%3D1748863149%3AS%3DALNI_Mb4Xpwl1SO1AcvqroR6xccDm_sheQ&gpic=UID%3D00000f7c5320f40b%3AT%3D1735196613%3ART%3D1748863149%3AS%3DALNI_Mb1dz_DHiT2yDzXLMaB9CDkQl4XGg&eo_id_str=ID%3Dcdf7f2f01784f52d%3AT%3D1735196613%3ART%3D1748863149%3AS%3DAA-Afjb8kbeupLLyQ0QHQmZxpM4v&prev_fmts=0x0&nras=1&correlator=1057683371861&frm=20&pv=1&rplot=4&u_tz=240&u_his=3&u_h=1080&u_w=1920&u_ah=1032&u_aw=1920&u_cd=24&u_sd=1&dmc=8&adx=448&ady=2306&biw=1905&bih=945&scr_x=0&scr_y=0&eid=31092756%2C31092782%2C42532524%2C95332927%2C95353386%2C95360390%2C95362039%2C95361618%2C95362173&oid=2&pvsid=7687208467325711&tmod=1648405896&uas=0&nvt=1&ref=https%3A%2F%2Fphys.org%2F&fc=1920&brdim=0%2C0%2C0%2C0%2C1920%2C0%2C1920%2C1032%2C1920%2C945&vis=1&rsz=%7C%7CpeEbr%7C&abl=CS&pfx=0&fu=128&bc=31&bz=1&td=1&tdf=2&psd=W251bGwsbnVsbCxudWxsLDNd&nt=1&ifi=2&uci=a!2&btvi=1&fsb=1&dtd=137
Bununla belə, sadə QCD onun vəziyyət tənliyini izah etmir. Feynman diaqramının şərtlərinin birləşmə sabitinin səlahiyyətləri ilə hesablandığı fiziklərin arsenalında əsas silah olan təlaş nəzəriyyəsi, elektromaqnit qarşılıqlı təsir və kvant elektrodinamikasında (QED) olduğu kimi güclü qarşılıqlı təsir üçün işləmir, burada birləşmə sabiti kiçik, incə struktur sabiti təxminən 1/137.
Orada birləşmə sabitinin gücləri – onun kvadratı, kubu və s. – sürətlə kiçilir və kiçik olur. QCD daha mürəkkəbdir, çünki birləşmə sabiti kiçik deyil. Nəzəriyyə qeyri-abeliyalıdır (heç bir elektromaqnit dəyişikliyi daşımayan QED fotondan fərqli olaraq, QCD-nin güc daşıyıcıları, qluonlar rəng yükünü saxlayır (onlardan ikisi, əslində – rəng və rəng əleyhinə).
Bundan əlavə, QCD-nin birləşmə sabiti qarşılıqlı təsirin enerjisinə görə dəyişir – kiçik məsafələrdə qarşılıqlı təsir kiçikdir, lakin böyük məsafələrdə güc böyükdür və asimptotik sərbəstlikdə özünü göstərir .
Beləliklə, fiziklər vəziyyət tənliyini hesablamaq üçün qəfəs QCD-yə müraciət etdilər.
Şəbəkə QCD-də fəza vaxtı dördölçülü kubda diskret nöqtələrə bölünür və QCD qarşılıqlı təsirlərinin fəza zamanının xüsusiyyətləri Feynman diaqramlarından istifadə etmədən, qeyri-perturbativ şəkildə nöqtə istiqamətində hesablanır.
Nəhayət, məkan-zaman nöqtələri arasındakı məsafə getdikcə daha kiçik olur, lakin əksər qəfəs QCD hesablamalarını yerinə yetirmək üçün hələ də superkompüterlər lazımdır.
Gündəlik anlayışlar üçün Phys.org-a etibar edən 100.000-dən çox abunəçi ilə elm, texnologiya və kosmosda ən son yenilikləri kəşf edin . Pulsuz xəbər bülleteni üçün qeydiyyatdan keçin və mühüm nailiyyətlər, yeniliklər və tədqiqatlar haqqında gündəlik və ya həftəlik yeniləmələr əldə edin .Abunə ol
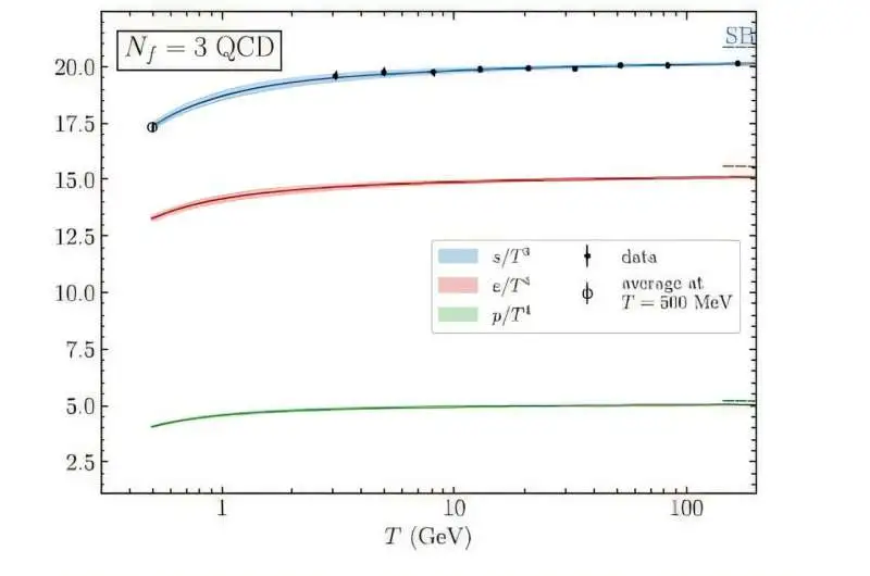
Milano-Bicocca Universitetinin və İtaliyanın Milli Nüvə Fizikası İnstitutunun (INFN) tədqiqatçıları şəbəkəli QCD-dən istifadə edərək, 3 GeV temperaturdan elektrozəif keçidə qədər QCD-nin vəziyyət tənliyini təyin etmək üçün yola çıxdılar.
Onlar kvarkların kütləsiz hissəciklərinin güclü qarşılıqlı əlaqədə olan sisteminə diqqət yetirdilər, burada onların kütləsinin böyük hissəsi onları əhatə edən qluon sahələrində bağlanır və bu temperatur şkalasında 500 MeV/c 2- dən azdır (plazmanın enerjisinə nisbətən təxminən sıfırdır).
Tədqiqatçılar deyirlər ki, “hesablama strategiyası tamamilə yenidir və biz 2022-ci ildə həmmüəlliflərdən üçü tərəfindən hazırlanmış kütləsiz kvarkların üç ləzzəti ilə nəzəriyyəyə diqqət yetiririk”. Yüksək texniki olsa da, mahiyyət etibarı ilə yeni strategiya Monte Karlo simulyasiyalarından istifadə edərək qəfəs QCD-ni aşağıdan çox yüksək temperatura qədər öyrənir, ilk prinsiplərdən təsadüfi seçmə nəticələri əldə edir.
Hesablamalardan sonra qrup üç kvark ləzzəti üçün 3 GeV temperaturdan 165 GeV temperaturdan elektrozəif keçidin temperaturuna qədər kvark-qluon plazmasının entropiya sıxlığının vəziyyət tənliyini əldə etdi və onu rəqəmsal olaraq bu sabit qüvvənin özünün funksiyası olan yeddinci dərəcəli polinom (güclərin cəmi) kimi ifadə etdi.
Şəbəkə aralığını sıfıra endirmək üçün rəqəmsal olaraq limit götürdülər, buna görə də onların nəticələri real dünya kontinuumu üçün tətbiq olunur.
https://googleads.g.doubleclick.net/pagead/ads?gdpr=0&us_privacy=1—&gpp_sid=-1&client=ca-pub-0536483524803400&output=html&h=280&slotname=8188791252&adk=1645945215&adf=1092384543&pi=t.ma~as.8188791252&w=750&abgtt=6&fwrn=4&fwrnh=0&lmt=1748863365&rafmt=1&armr=3&format=750×280&url=https%3A%2F%2Fphys.org%2Fnews%2F2025-05-thermodynamic-properties-quark-gluon-plasma.html&fwr=0&rpe=1&resp_fmts=3&wgl=1&uach=WyJXaW5kb3dzIiwiMTkuMC4wIiwieDg2IiwiIiwiMTM3LjAuNzE1MS41NSIsbnVsbCwwLG51bGwsIjY0IixbWyJHb29nbGUgQ2hyb21lIiwiMTM3LjAuNzE1MS41NSJdLFsiQ2hyb21pdW0iLCIxMzcuMC43MTUxLjU1Il0sWyJOb3QvQSlCcmFuZCIsIjI0LjAuMC4wIl1dLDBd&dt=1748863365599&bpp=1&bdt=138&idt=14&shv=r20250528&mjsv=m202505270101&ptt=9&saldr=aa&abxe=1&cookie=ID%3Df22668bce9793ae4%3AT%3D1735196613%3ART%3D1748863149%3AS%3DALNI_Mb4Xpwl1SO1AcvqroR6xccDm_sheQ&gpic=UID%3D00000f7c5320f40b%3AT%3D1735196613%3ART%3D1748863149%3AS%3DALNI_Mb1dz_DHiT2yDzXLMaB9CDkQl4XGg&eo_id_str=ID%3Dcdf7f2f01784f52d%3AT%3D1735196613%3ART%3D1748863149%3AS%3DAA-Afjb8kbeupLLyQ0QHQmZxpM4v&prev_fmts=0x0%2C750x280&nras=1&correlator=1057683371861&frm=20&pv=1&rplot=4&u_tz=240&u_his=3&u_h=1080&u_w=1920&u_ah=1032&u_aw=1920&u_cd=24&u_sd=1&dmc=8&adx=448&ady=4270&biw=1905&bih=945&scr_x=0&scr_y=0&eid=31092756%2C31092782%2C42532524%2C95332927%2C95353386%2C95360390%2C95362039%2C95361618%2C95362173&oid=2&pvsid=7687208467325711&tmod=1648405896&uas=0&nvt=1&ref=https%3A%2F%2Fphys.org%2F&fc=1920&brdim=0%2C0%2C0%2C0%2C1920%2C0%2C1920%2C1032%2C1920%2C945&vis=1&rsz=%7C%7CpeEbr%7C&abl=CS&pfx=0&fu=128&bc=31&bz=1&td=1&tdf=2&psd=W251bGwsbnVsbCxudWxsLDNd&nt=1&ifi=3&uci=a!3&btvi=2&fsb=1&dtd=141
“Şəbəkə artefaktları olduqca yumşaq olur” deyə yekunlaşdırdılar. Bu, 1 GeV-dən aşağı temperaturlarla məhdudlaşan əvvəlki kvark-qluon plazma simulyasiyalarında böyük irəliləyişdir.
Entropiya sıxlığından təzyiq və enerji sıxlığı standart termodinamik tənliklərlə hesablanmışdır . Onlar həmçinin müəyyən etdilər ki, hesabladıqları təzyiqlər zəif qarşılıqlı təsir göstərən kvarklar və qlüonlar modeli ilə dəqiq təsvir edilə bilməz, bu da güclü qüvvənin Böyük Partlayışdan sonra əvvəllər düşünüldüyündən daha tez erkən kainatda təsirli olduğunu göstərir.
Daha da irəli getmək üçün onlar daha sürətli kompüterlərə və ya daha çox kompüter vaxtına ehtiyac duyduqlarını deyirlər: “burada təqdim olunan ədədi nəticələr həqiqətən də gələcəkdə daha çox hesablama resurslarına sərmayə qoymaqla sistematik şəkildə təkmilləşdirilə bilər”.
Daha çox məlumat: Matteo Bresciani və digərləri, N f =3 Flavors ilə QCD State Equation with the Electroweak Scale, Physical Review Letters (2025). DOI: 10.1103/PhysRevLett.134.201904
Jurnal məlumatı: Fiziki baxış məktubları
© 2025 Science X Network














