3C 216 radio mənbəyindən qamma şüalarının partlaması aşkar edilib

NASA-nın Fermi kosmik teleskopundan istifadə edərək, italyan astronomları 3C 216 kimi tanınan radio mənbəyini müşahidə ediblər. Nəticədə bu mənbədən güclü partlayış da daxil olmaqla, qamma-şüalarının aktivliyini artırıblar. Bu tapıntı arXiv preprint serverində dərc olunan tədqiqat məqaləsində bildirilir .
3C 216, təxminən 0,67 qırmızı yerdəyişmə ilə, təxminən 182,500 işıq ili proqnozlaşdırılan xətti ölçüsü ilə ekstraqalaktik radio mənbəyidir. Onun ümumi dik radio spektri və nisbətən yığcam morfologiyası var. Buna görə də o, kompakt dik spektr (CSS) obyekti kimi təsnif edilir.
3C 216-nın əvvəlki müşahidələri onun daha uzadılmış strukturla əhatə olunmuş mərkəzi komponentdən ibarət radioqalaktika olduğunu və daxili relativistik jetə malik olduğunu müəyyən etmişdir. Məlum olub ki, bu qalaktika 4FGL J0910.0+4257 qamma-şüa mənbəyi ilə bağlıdır .
2022-ci ilin sonunda 3C 216-nın qamma-şüalarının aktivliyi artmağa başladı, bu da Ferminin Geniş Sahə Teleskopu (LAT) tərəfindən aşkar edildi. İndi İtaliyanın Roma şəhərindəki Milli Nüvə Fizikası İnstitutundan Federika Giacchino-nun rəhbərlik etdiyi astronomlar qrupu LAT ilə bu mənbənin monitorinq kampaniyasının yeni nəticələrini təqdim edir.
“LAT 2022-12-08 və 01-05-2023-cü il tarixlərində mənbə istiqamətindən qamma-şüalarının aktivliyində nəzərəçarpacaq artım müşahidə edib”, – deyə məlumatda deyilir.
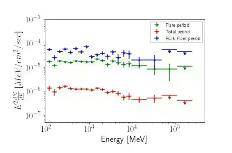
3C 216-nın LAT monitorinqi 1 may 2023-cü ildə 3C 216-nın güclü qamma-şüa partlayışını qeydə aldı, o zaman onun gündəlik orta qamma-şüa axını orta selə nisbətən 177 dəfə artdı, foton indeksi isə orta səviyyədən azaldı. 2.57-dən 2.11-ə qədər olan dəyər. Bu tapıntılar həm ən yüksək gündəlik axını, həm də Fermi tərəfindən bu günə qədər bu mənbə üçün qeydə alınan ən sərt foton indeksini təmsil edir.
https://googleads.g.doubleclick.net/pagead/ads?client=ca-pub-0536483524803400&output=html&h=188&slotname=8188791252&adk=1687169288&adf=4054963813&pi=t.ma~as.8188791252&w=750&abgtt=6&fwrn=4&lmt=1736401709&rafmt=11&format=750×188&url=https%3A%2F%2Fphys.org%2Fnews%2F2025-01-gamma-ray-outburst-radio-source.html&wgl=1&uach=WyJXaW5kb3dzIiwiMTkuMC4wIiwieDg2IiwiIiwiMTMxLjAuNjc3OC4yNjYiLG51bGwsMCxudWxsLCI2NCIsW1siR29vZ2xlIENocm9tZSIsIjEzMS4wLjY3NzguMjY2Il0sWyJDaHJvbWl1bSIsIjEzMS4wLjY3NzguMjY2Il0sWyJOb3RfQSBCcmFuZCIsIjI0LjAuMC4wIl1dLDBd&dt=1736401708998&bpp=2&bdt=151&idt=2&shv=r20250107&mjsv=m202501030301&ptt=9&saldr=aa&abxe=1&cookie=ID%3Df22668bce9793ae4%3AT%3D1735196613%3ART%3D1736401527%3AS%3DALNI_Mb4Xpwl1SO1AcvqroR6xccDm_sheQ&gpic=UID%3D00000f7c5320f40b%3AT%3D1735196613%3ART%3D1736401527%3AS%3DALNI_Mb1dz_DHiT2yDzXLMaB9CDkQl4XGg&eo_id_str=ID%3Dcdf7f2f01784f52d%3AT%3D1735196613%3ART%3D1736401527%3AS%3DAA-Afjb8kbeupLLyQ0QHQmZxpM4v&prev_fmts=0x0&nras=1&correlator=8542085515661&rume=1&frm=20&pv=1&rplot=4&u_tz=240&u_his=6&u_h=1080&u_w=1920&u_ah=1032&u_aw=1920&u_cd=24&u_sd=1&dmc=8&adx=447&ady=1942&biw=1903&bih=945&scr_x=0&scr_y=0&eid=31089554%2C42532523%2C95349404%2C31088249%2C95347432%2C31061691%2C31061692&oid=2&pvsid=2628972152815436&tmod=106500483&uas=0&nvt=1&ref=https%3A%2F%2Fphys.org%2Fnews%2F2025-01-roman-era-dog-penis-bone.html&fc=1920&brdim=0%2C0%2C0%2C0%2C1920%2C0%2C1920%2C1032%2C1920%2C945&vis=1&rsz=%7C%7CpeEbr%7C&abl=CS&pfx=0&fu=128&bc=31&bz=1&td=1&tdf=2&psd=W251bGwsbnVsbCxudWxsLDNd&nt=1&ifi=4&uci=a!4&btvi=1&fsb=1&dtd=6
Bundan əlavə, astronomlar 3C 216-nın çoxdalğalı məlumatlarını təhlil edərək, 1-9 may 2023-cü il tarixləri arasında optik, ultrabənövşəyi, rentgen və qamma-şüa zolaqlarında eyni vaxtda yanan aktivlik tapdılar. Bu, qamma-şüa mənbəyinin 3C 216 ilə əlaqəsini təsdiqləyir.
Ümumilikdə, tədqiqat müəyyən etdi ki, 3C 216-nın məşəldə yandırma fəaliyyətinin spektral enerji paylanması ardıcıl şəkildə inkişaf edir. Bu tapıntı çoxtezlikli emissiyaların ümumi mənşəyinə işarə edir.
Nəticələri yekunlaşdıraraq, məqalənin müəllifləri belə qənaətə gəlirlər ki, 3C 216-nın məşəldə yandırılması aktivliyi sinxrotron özünü-kompton (SSC) şüalanmasının partlaması kimi şərh edilə bilər. Belə bir partlayış , ehtimal ki, reaktiv içərisində yüklü hissəciklərin paylanmasının sürətlənməsi ilə əlaqələndirilir və sonradan radiasiya itkiləri ilə soyuyur.
“Nəticələrimiz də təsdiqləyir ki, SSC prosesi bu tip radio mənbəyindən qamma-şüa partlayışlarının istehsalını yaxşı izah edə bilər” dedi tədqiqatçılar.
Ətraflı məlumat: Federica Giacchino et al, Fermi-LAT Discovery of a Gamma-ray Outburst from the Peculiar Compact Steep Spectrum Radiogalaxy 3C 216, arXiv (2025). DOI: 10.48550/arxiv.2501.00582
Jurnal məlumatı: arXiv














