Tədqiqat GK Persei kataklizm dəyişən sisteminin partlayışını araşdırır

Çinli astronomlar NASA-nın Swift rəsədxanasının məlumatlarını təhlil ediblər, o, GK Persei kimi tanınan kataklizm dəyişənlər sisteminin partlamasını geniş şəkildə müşahidə edib. Fevralın 20-də arXiv preprint serverində dərc edilən tədqiqatın nəticələri bu sistemin təbiətinə daha çox işıq salır.
Kataklizmik dəyişənlər (CV) normal ulduz yoldaşından ağ cırtdan əsas yığılan maddədən ibarət ikili ulduz sistemləridir . Onlar qeyri-müntəzəm olaraq parlaqlığı böyük faktorla artırır, sonra yenidən sakit vəziyyətə düşürlər. Bu ikili sistemlər bir çox mühitlərdə, məsələn, Süd Yolu qalaktikasının mərkəzi, günəş məhəlləsi, açıq və qlobular çoxluqlar içərisində tapılıb.
Nəzərə alsaq ki, CV-lərdə yoldaş ulduzdan kütləvi köçürmə tez-tez ağ cırtdan ətrafındakı yığılma diski vasitəsilə baş verir və bəzi hallarda diskdəki termal qeyri-sabitlik cırtdan nova (DN) kimi tanınan partlayışa səbəb olur. Bu novalar yarı dövri çıxışlara məruz qalan CV-lərdir.
Qütblər ağ cırtdanlarda çox güclü maqnit sahəsinin olması ilə digər CV-lərdən fərqlənən kataklizm dəyişənlərinin alt sinfidir . Aralıq qütblərdə (IP) maqnit ağ cırtdan sistemin orbital dövrü ilə asinxron olaraq fırlanır və buna görə də spin dövrü ilə sürətli salınım yaradır.
Təxminən 1400 işıq ili uzaqlıqda yerləşən GK Persei (həmçinin A 0327+43 və ya Nova Persei 1901 kimi tanınır) maqnitləşdirilmiş ağ cırtdan (WD) və kütləsi 0,25-0,48 günəş kütləsi olan K2 tipli subnəhəng ulduzdan ibarət kataklizm dəyişəndir. O, IP kimi təsnif edilir və WD ətrafındakı maqnit sahəsinin gücünün təxminən 0,5 MG olduğu təxmin edilir.
https://googleads.g.doubleclick.net/pagead/ads?client=ca-pub-0536483524803400&output=html&h=135&slotname=8188791252&adk=2329133447&adf=4054963813&pi=t.ma~as.8188791252&w=540&abgtt=6&fwrn=4&lmt=1740586627&rafmt=11&format=540×135&url=https%3A%2F%2Fphys.org%2Fnews%2F2025-02-outburst-cataclysmic-variable-gk-persei.html&wgl=1&uach=WyJXaW5kb3dzIiwiMTkuMC4wIiwieDg2IiwiIiwiMTMzLjAuNjk0My4xMjgiLG51bGwsMCxudWxsLCI2NCIsW1siTm90KEE6QnJhbmQiLCI5OS4wLjAuMCJdLFsiR29vZ2xlIENocm9tZSIsIjEzMy4wLjY5NDMuMTI4Il0sWyJDaHJvbWl1bSIsIjEzMy4wLjY5NDMuMTI4Il1dLDBd&dt=1740586627622&bpp=4&bdt=176&idt=4&shv=r20250224&mjsv=m202502200101&ptt=9&saldr=aa&abxe=1&cookie=ID%3De2af2bea6b3e2e90%3AT%3D1735548424%3ART%3D1740586557%3AS%3DALNI_MZIaWdAh-lthHlhpkWN2g6ZC7xT8A&gpic=UID%3D00000f8412a58936%3AT%3D1735548424%3ART%3D1740586557%3AS%3DALNI_MaJ_6ILTTPz6uEc3lU2rNf9ZPgQbA&eo_id_str=ID%3D1b1b09cf233e1b4b%3AT%3D1735548424%3ART%3D1740586557%3AS%3DAA-AfjZKostxhmsFX2YCqOZbTGHa&prev_fmts=0x0&nras=1&correlator=7632267833376&frm=20&pv=1&rplot=4&u_tz=240&u_his=3&u_h=864&u_w=1536&u_ah=816&u_aw=1536&u_cd=24&u_sd=1.25&dmc=8&adx=395&ady=1889&biw=1519&bih=730&scr_x=0&scr_y=0&eid=95344788%2C31090585%2C95347433%2C95350016%2C31061690&oid=2&pvsid=3367668838297159&tmod=1450296636&uas=0&nvt=1&ref=https%3A%2F%2Fphys.org%2F&fc=1920&brdim=0%2C0%2C0%2C0%2C1536%2C0%2C1536%2C816%2C1536%2C730&vis=1&rsz=%7C%7CpeEbr%7C&abl=CS&pfx=0&fu=128&bc=31&bz=1&td=1&tdf=2&psd=W251bGwsbnVsbCxudWxsLDNd&nt=1&ifi=2&uci=a!2&btvi=1&fsb=1&dtd=7
GK Persei 1901-ci ildə klassik nova partlayışına məruz qaldı və buna görə də aşkar edilmiş ikinci ən yaxın novadır. Bu sistemin ilk DN davranışı 1948-ci ildə müşahidə edilmişdir və o vaxtdan bəri bu mənbədən çoxsaylı DN partlayışları, o cümlədən 2010, 2015 və 2018-ci illərdə ən sonları müəyyən edilmişdir.
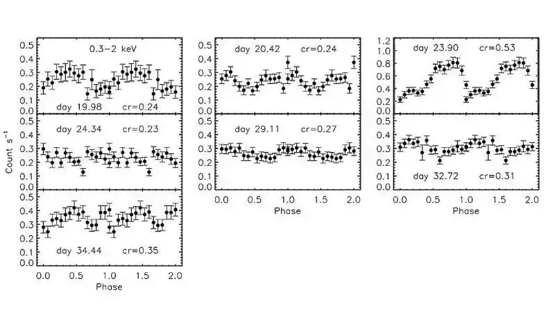
Çinin Liupanshui Normal Universitetindən Songpeng Pei başda olmaqla astronomlar qrupu 15 il əvvəl baş vermiş GK Persei partlayışına diqqət yetirib. Onlar 2010-cu il püskürməsindən sonra 1,95 gün əhatə edən və onun rentgen şüalarının işıq əyrilərinin və spektrlərinin təkamülünü araşdırmaq üçün partlayışdan maksimum 13,9 gün əvvələ qədər davam edən Swift məlumatlarını təhlil etdilər.
“2010-cu il partlayışının rentgen və UV müşahidələri vasitəsilə biz bu sistemin İP təbiətini, xüsusən də klassik nova hadisələrinə məruz qalan maqnit CV-də nadir, DN-yə bənzər partlayış davranışını anlamaqda əhəmiyyətli irəliləyiş əldə etdik” dedi tədqiqatçılar.
Tədqiqat nəticəsində məlum olub ki, GK Persei-nin rentgen spektri yüksək səviyyədə mürəkkəblik nümayiş etdirir. Pei komandası tərəfindən həyata keçirilən zamanlama təhlili rentgen şüalarının ən azı iki fərqli mənbəyinin mövcudluğunu göstərir: biri sərt rentgen şüaları (2,0-10 keV), digəri isə yumşaq rentgen diapazonunda (0,3-2,0 keV) emissiya edir.
Bundan əlavə, tədqiqat 2010-cu ildə partlayış zamanı 2-10 keV diapazonunda təxminən 351,32 saniyəlik WD fırlanma müddətini aşkar etdi. Yumşaq enerji zolağında (0,3-2 keV) fırlanma modulyasiyası ikinci yarım müşahidələrin işıq əyrisində də aşkar edilmişdir (2015 və 2018-ci il partlayışlarında görünməmişdir), lakin 2-10 keV diapazonundan daha zəif amplituda ilə.
Bundan əlavə, astronomlar 2010 və 2018-ci il partlayışları üçün əldə edilən dəyərlərin 2015-ci il partlayışı üçün əldə edilənlərdən təxminən aşağı miqyasda olduğunu nəzərə alsaq, GK Persei-də kütləvi yığılma dərəcəsinin müxtəlif DN partlayışları zamanı əhəmiyyətli dərəcədə dəyişdiyini müəyyən etdilər.
Məqalə müəlliflərinin fikrincə, tapıntılar göstərir ki, GK Persei-də yumşaq rentgen şüaları qismən maqnit qütblərinin yaxınlığında, qismən də külək və ya ulduz ətrafı materialdan yarana bilər.
Daha çox məlumat: Songpeng Pei et al, 2010-cu il cırtdan nova partlayışı zamanı GK Perseinin vaxtı və spektral təhlili, arXiv (2025). DOI: 10.48550/arxiv.2502.14277
Jurnal məlumatı: arXiv
© 2025 Science X Network














